- 92 -Enders, Bernd: Die Klangwelt des Musiksynthesizers 
  Erste Seite (0) Vorherige Seite (91)Nächste Seite (93) Letzte Seite (169)      Suchen  Nur aktuelle Seite durchsuchen Gesamtes Dokument durchsuchen     Aktuelle Seite drucken Hilfe 

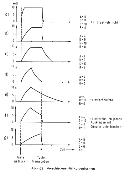
nung dient in diesem Fall als reiner Triggerimpuls, d. h. der Klang schwingt
nach dem Anschlag einer Taste bis zum Verklingen aus, unabhängig davon,
ob die Taste weiter gedrückt wird oder nicht.

Auch hier erlaubt eine spezielle Schaltungstechnik wiederum die Program-
mierung differenzierter Klangverläufe. Mit dem Sustain-Regler kann man


Erste Seite (0) Vorherige Seite (91)Nächste Seite (93) Letzte Seite (169)      Suchen  Nur aktuelle Seite durchsuchen Gesamtes Dokument durchsuchen     Aktuelle Seite drucken Hilfe 
- 92 -Enders, Bernd: Die Klangwelt des Musiksynthesizers